栖凤楼发布信息交流逍遥阁论坛入口,一品楼ypl免费论坛,一杯茶论坛全国兼职51一品茶楼,全国同城凤凰楼信息论坛

鑫腾辉数控陶瓷雕铣机源头厂家、已服务1000+电子陶瓷/工业陶瓷企业。 咨询联系136 998 99025。

拥有核心技术的雕铣机厂家

13年来 ? 我们不断让数控机床变得更好

全国咨询热线:

136-998-99025

联系鑫腾辉

东莞市望辉机械有限公司

http://www.kwcyqrc.cn/

电 话:13923413250

邮 ?箱:xwh@xwhcnc.com

地 ?址:东莞市大朗镇犀牛陂村雅瑶街(瓦窑街)35号

铝基碳化硅怎样加工

点击量:3592

时间:2020-07-02

SiCp/Al 铝基碳化硅复合材料具有独特的力学和物理性能,在航空航天、精密仪器及汽车等领域具有广阔的应用前景。由于材料中存在增强相,加大了材料的硬度和耐磨性,使该类铝基复合材料的切削过程变得非常困难,导致刀具磨损严重、加工效率低及工件表面质量差,并限制了 SiCp/Al 的进一步应用 。

1593659194.png

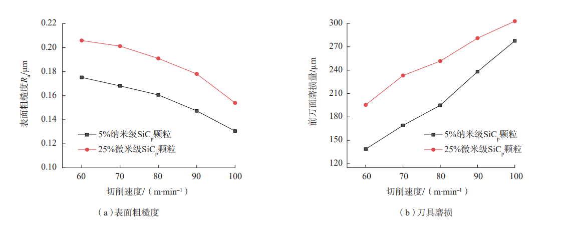
切削速度对表面粗糙度和刀具磨损的影响

车削不同颗粒含量 SiCp/Al 铝基碳化硅时,切削参数的选取对工件的表面质量和刀具的磨损程度有着重要影响。本研究从切削速度、进给量、背吃刀量 3 个方面对刀具前刀面磨损和工件表面粗糙度进行了单因素分析。当进给量 0.05mm/r、背吃刀量0.5mm,切削速度从 60m/min 增大到 100m/min 时,表面粗糙度和刀具磨损量随切削速度的变化如图 6 所示。相比于颗粒体积分数为 25% 微米级SiCp/Al 复合材料,颗粒体积分数为 5% 纳米级 SiCp/Al 复合材料得到的表面粗糙度值更小,刀具磨损更小。当切削速度增大,表面粗糙度值减小,且刀具磨损速度也加快,当切削速度大于 80m/min 时,刀具磨损剧烈,刀具的使用寿命也急剧下降。当切削速度和背吃刀量保持不变,表面粗糙度和刀具前刀面磨损量随着进给量的变化如图 7 所示。当切削速度 40m/min、背吃刀量 0.5mm,进给量从0.06mm/r 增大到 0.1mm/r 时,表面粗糙度值呈明显增大趋势。另外,进给量增大,刀具磨损速度也加快,当进给量大于0.08mm/r 时,刀具磨损剧烈,导致刀具使用寿命急剧下降。相比于颗粒体积分数为 25% 微米级 SiCp/Al,颗粒体积分数为 5% 纳米级 SiCp/Al在切削加工时的表面质量更好,刀具磨损也更小。当切削速度为 40m/min,进给量为 0.05mm/r,被吃刀量从 0.6mm 增大到1mm 时,表面粗糙度和刀具磨损量随着背吃刀量的变化关系如图8 所示。此时,表面粗糙度 Ra 值呈增大趋势,背吃刀量增大,刀具磨损速度加快,刀具磨损剧烈,刀具的使用寿命急剧下降。相比于颗粒体积分数为 25% 微米级 SiCp/Al 复合材料,颗粒体积分数为 5% 纳米级 SiCp/Al复合材料在切削加工时,刀具磨损量较小。

本文对不同粒度 SiCp/Al 铝基碳化硅复合材料的 PCD 刀具切削过程展开了研究,得到了颗粒含量和切削参数对已加工表面质量和刀具磨损的影响规律,研究结果为选择合适的切削参数提供了理论依据。选取本文切削参数进行研究时,可以得出如下结论:(1)与颗粒体积分数 5% 纳米级SiCp/Al 复合材料相比,体积分数为25% 微米级 SiCp/Al 铝基碳化硅复合材料在相同的切削参数时 PCD 刀具磨损更为严重,且工件已加工表面质量相对较差。

(2)切削试验结果表明随着切削速度的增大,已加工表面粗糙度值减小,刀具磨损加剧。随着进给量和背吃刀量的增加,工件表面粗糙度值增大,刀片前刀面磨损量加剧。

本文节选自盆洪民博士 PCD刀具车削不同颗粒含量SiCp/Al复合材料试验研究一文。

鑫腾辉数控专业生产铝基碳化硅雕铣机,可点击了解详情。


?

东莞市望辉机械有限公司

地址:东莞市大朗镇犀牛陂村雅瑶街(瓦窑街)35号

热线:136-998-99025

电话:13923413250

邮箱:xwh@xwhcnc.com

备案号:粤ICP备14047435号-1

   
  • 雕铣机厂家二维码

    官方二维码

鑫腾辉客服